건설업 개별 직종별 노임단가: 2025년 상반기 일평균 임금 분석


안녕하세요, 건설워커 운영자 라인C입니다.
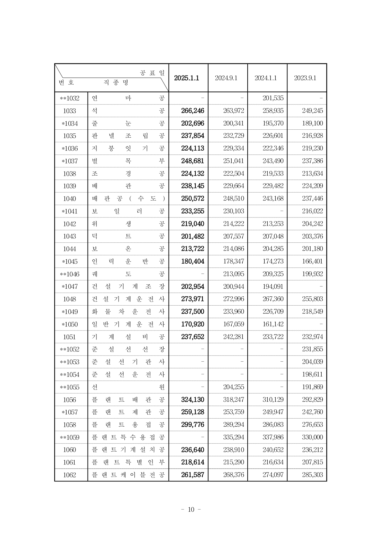
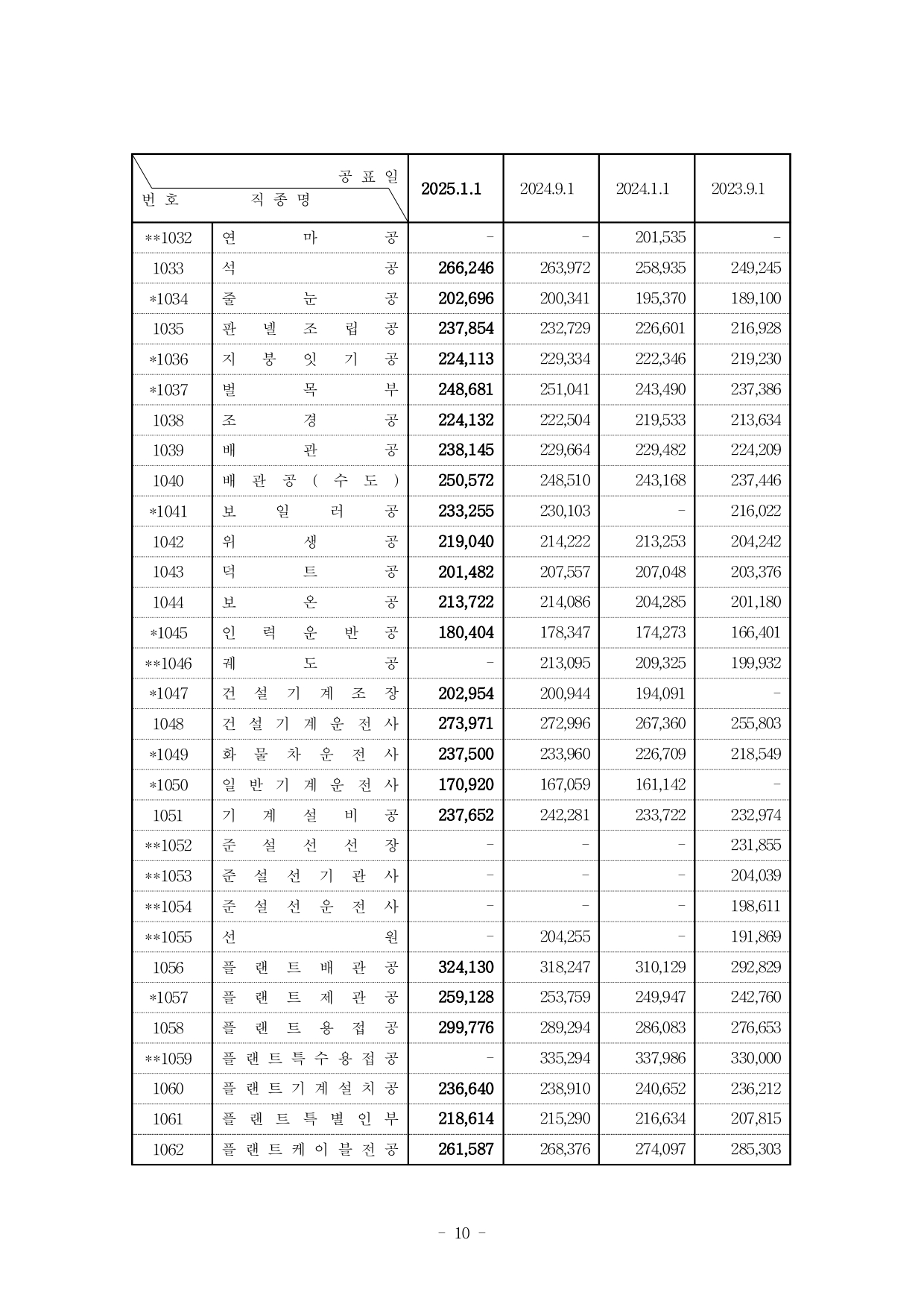
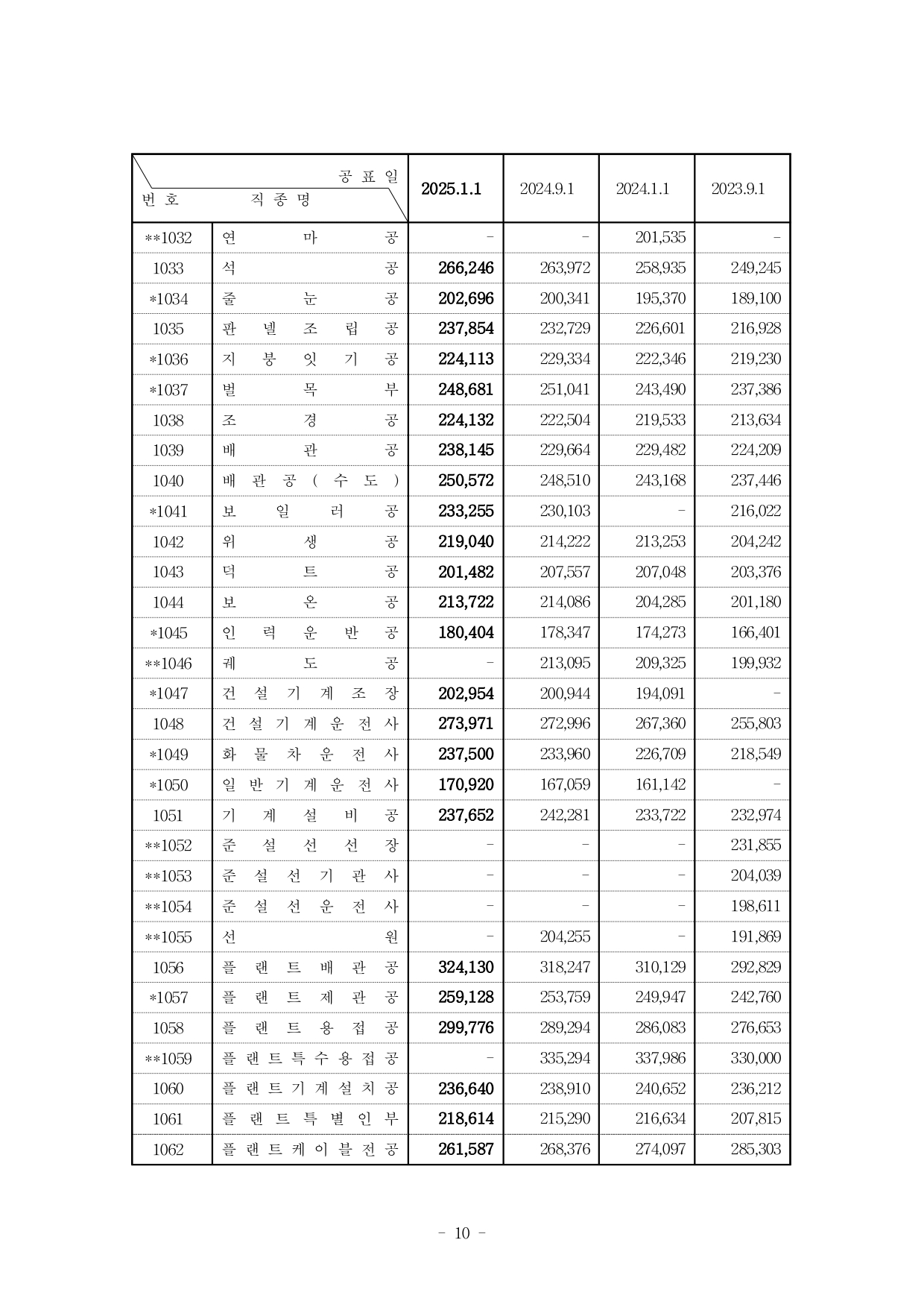
이번 글에서는 2025년 상반기 적용되는 건설업 직종별 일평균 임금을 살펴보겠습니다. 대한건설협회가 발표한 자료에 따르면, 전체 건설업 평균 임금은 전년 대비 소폭 상승했습니다.
주요 변화와 통계 요약
2025년 상반기 건설업 평균 일평균 임금 변화
- 전체 132개 직종 평균: 276,011원
- 전년 동기 대비 1.93% 상승
- 직전 반기 대비 0.61% 상승
분야별 평균 일평균 임금
1. 일반공사직종 (91개 직종)
- 평균 임금: 264,277원
- 전년 동기 대비 2.29% 상승
2. 광전자 직종 (3개 직종)
- 평균 임금: 430,013원
- 전년 동기 대비 0.69% 상승
3. 국가유산 직종 (18개 직종)
- 평균 임금: 322,178원
- 전년 동기 대비 0.14% 상승
- 직전 반기 대비 0.33% 상승
4. 원자력 직종 (4개 직종)
- 평균 임금: 234,847원
- 직전 반기 대비 2.17% 하락
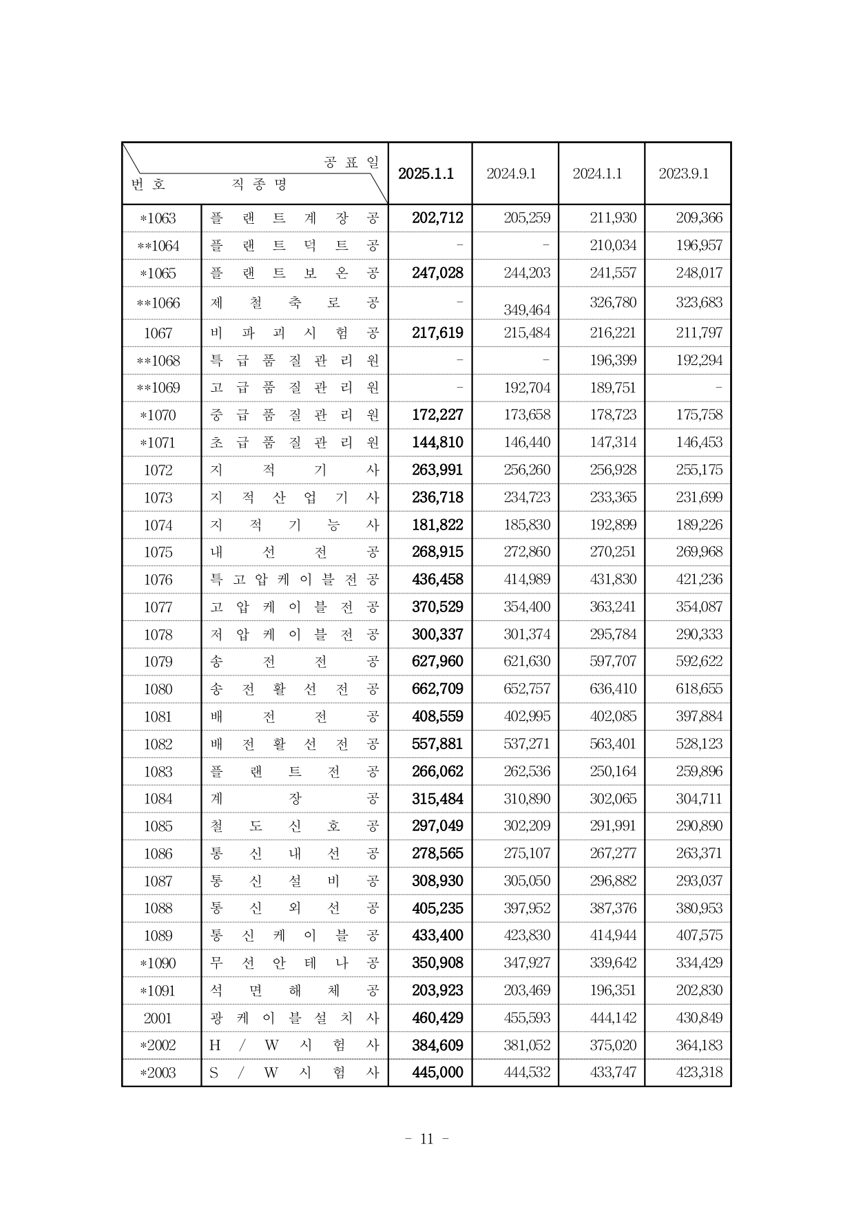
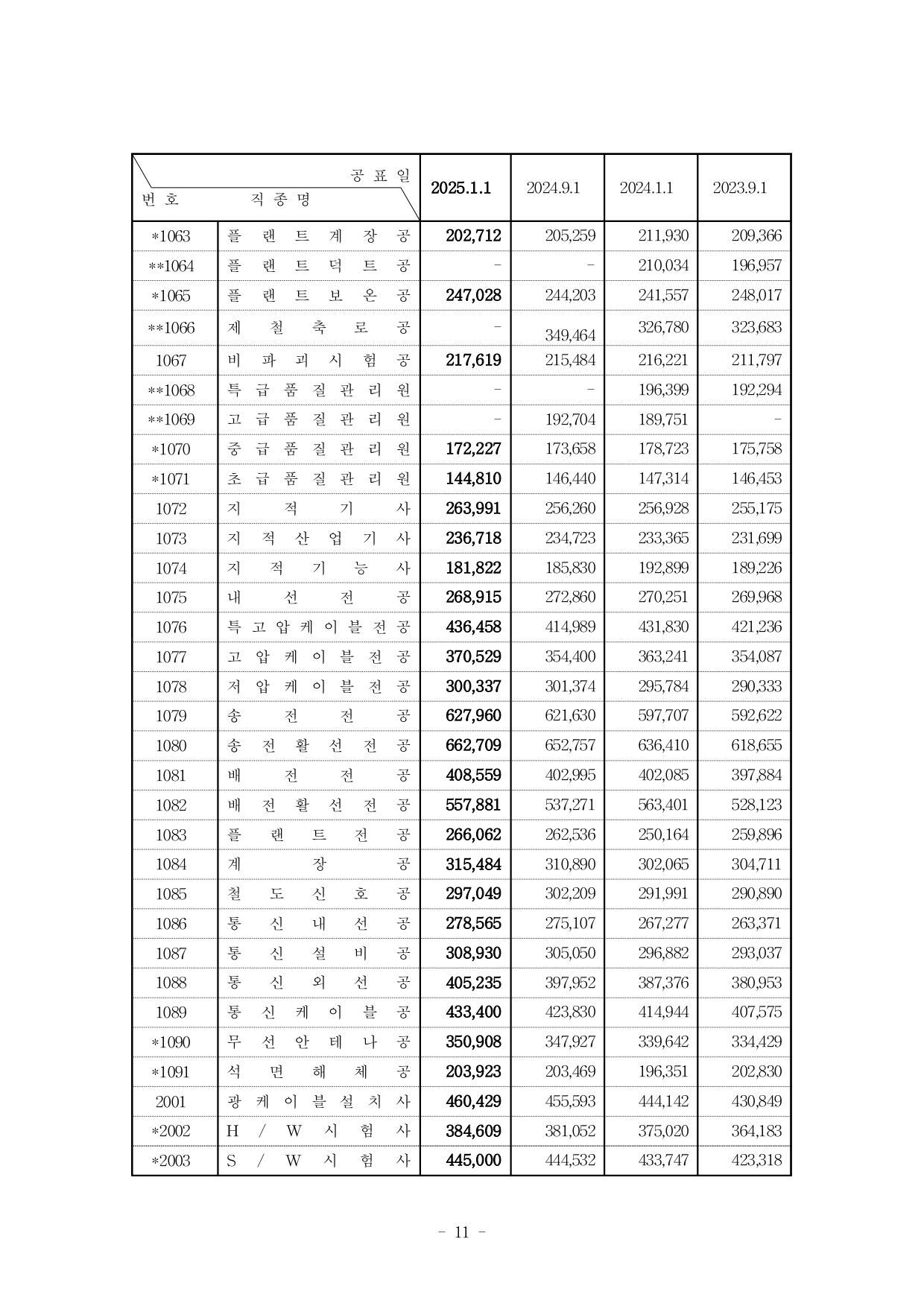
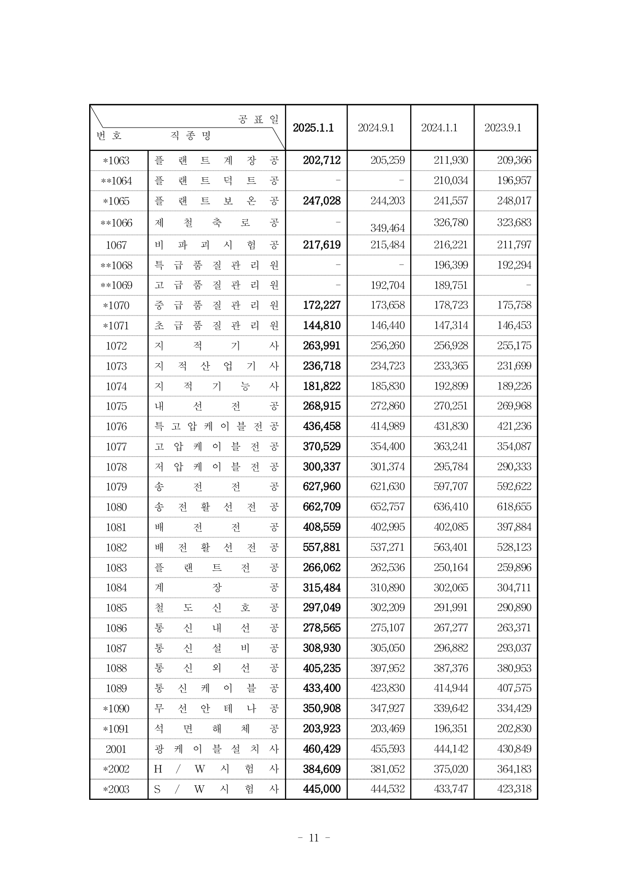
일평균 임금 최고 직종
- 송전활선전공 (직종번호 1079)
- 평균 임금: 662,709원
- 설명: 전기가 흐르는 상태에서 송전설비에 종사하며, 소정의 활선작업교육을 이수한 숙련된 송전전공
- 송전전공 (직종번호 1079)
- 평균 임금: 627,960원
- 설명: 발전소와 변전소 사이의 송전선 철탑 및 설비의 시공과 보수를 담당
임금 조사와 적용 기준
이번 조사는 2024년 9월부터 전국 2,000개 공사현장을 대상으로 실시되었으며, 해당 결과는 2025년 1월 1일부터 건설공사 원가계산에 적용됩니다.
- 기준 시간: 1일 8시간 (잠수부 직종은 1일 6시간)
- 다음 임금 공표 예정일: 2025년 9월 1일
결론 및 참고 사항
2025년 상반기 건설업 노임단가는 전반적으로 상승세를 유지하고 있지만, 분야별로 임금 변동 폭에 차이가 큽니다.
특히 송전 관련 직종이 가장 높은 임금을 기록하며 숙련된 기술자에 대한 수요가 계속되고 있습니다.
건설 기술자 여러분은 이번 임금 변동을 참고하여 적절한 경력 개발과 직무 선택에 나서시기 바랍니다.
해시태그: #건설업 #노임단가 #2025건설임금 #평균임금 #송전활선전공 #건설노임 #건설워커










✅ 관련 문서 🔗
건설업 개별 직종별 노임단가: 2025년 상반기 적용 일평균 임금
- 132개 전체 직종 평균 임금: 27만6,011원 (전년 대비 1.93% 상승) - 송전활선전공: 일 평균 임금 66만2,7...
blog.naver.com
#️⃣ #대한건설협회 #건설업 #건설임금 #노임단가 #2025건설임금 #평균임금 #송전활선전공 #일평균임금 #건설노임 #건설업계 #임금실태조사
☞ 네이버 검색창에 '건설워커'
'건설워커 > 건설톡톡' 카테고리의 다른 글
| ‘경남 2위’ 대저건설, 법정관리 신청…건설업계 위기감 확산 (3) | 2025.01.17 |
|---|---|
| BS그룹(구 보성그룹) 사명 변경: 수자인 한양 → BS한양 (0) | 2025.01.08 |
| 대보건설, 올해 수주 1.6조 원 돌파…사상 최대 실적 기록 (4) | 2024.12.26 |
| 현대건설, DJSI 월드 '건설·엔지니어링' 부문 세계 1위 (3) | 2024.12.22 |
| 건설업계 비상정국과 구직자 대응 전략 모음: 건설회사와 취업 준비생을 위한 실전 가이드 (1) | 2024.12.15 |
댓글